Image
Figure Caption

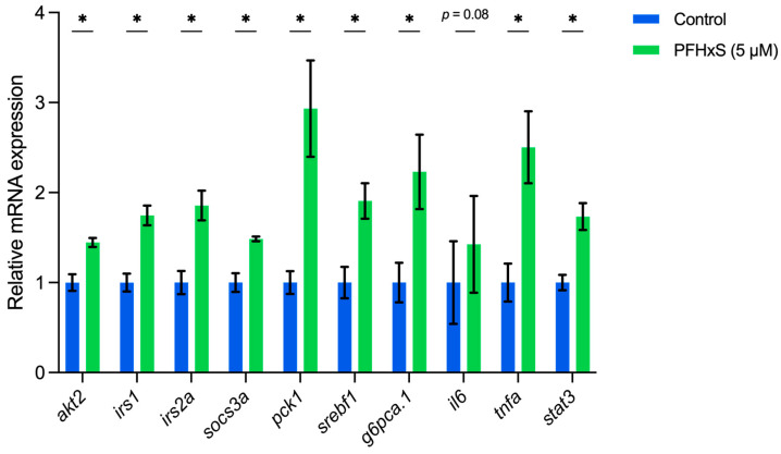
Figure 3

The mRNA expression levels of 10 selected genes (akt2, irs1, irs2a, socs31, pck1, srebf1, g6pca.1, il6, tnfa, and stat3) evaluated in PFHxS-exposed fish and compared to the control group at 5-dpf. Data are expressed as mean ± SEM. * indicates p < 0.05.

Figure Data
Acknowledgments
This image is the copyrighted work of the attributed author or publisher, and ZFIN has permission only to display this image to its users. Additional permissions should be obtained from the applicable author or publisher of the image. Full text @ Genes (Basel)