IMAGE

Figure 3

ID
ZDB-IMAGE-220416-43
Genes
Source
Figures for El Fersioui et al., 2022
Image
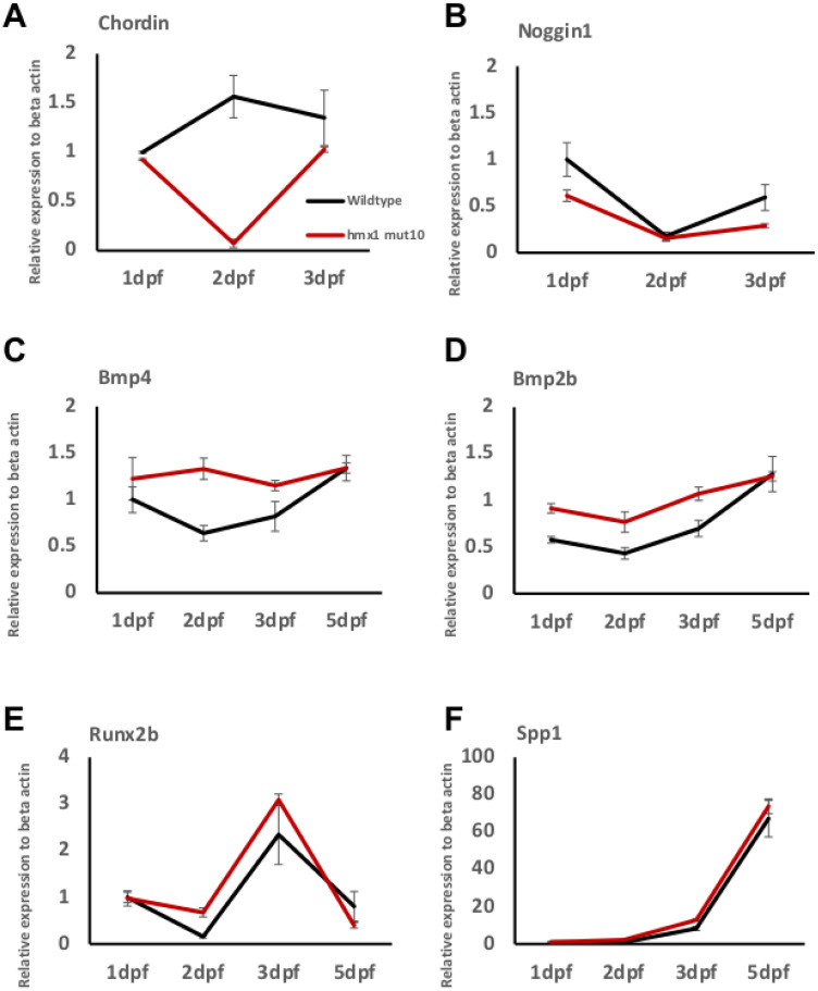
Figure Caption

Figure 3 Hmx1mut10 embryos present enhanced expression of osteogenic factors: RT-PCR analysis of the BMP antagonist chordin and noggin1 relative to β-actin, the osteogenic inducers bmp2b and bmp4, and the osteogenic markers runx2b and spp1. In hmx1mut10 embryos, chordin expression is reduced at 2 dpf (A), while noggin1 expression is lower at 1 dpf and 3 dpf (B). Bmp2b and bmp4 transcripts are significantly different in hmx1mut10 embryos when compared to wildtype zebrafish from 1 dpf to 3 dpf (C,D). The osteogenic markers runx2b and spp1 are differentially expressed, and are higher in hmx1mut10 at 2 dpf and 3 dpf, respectively (E,F). Data are expressed as mean of three or more experiments.

Figure Data
Acknowledgments
This image is the copyrighted work of the attributed author or publisher, and ZFIN has permission only to display this image to its users. Additional permissions should be obtained from the applicable author or publisher of the image. Full text @ Cells