FIGURE SUMMARY
Title

Magnetically powered microwheel thrombolysis of occlusive thrombi in zebrafish

Authors
Pontius, M.H.H., Ku, C.J., Osmond, M.J., Disharoon, D., Liu, Y., Warnock, M., Lawrence, D.A., Marr, D.W.M., Neeves, K.B., Shavit, J.A.
Source
Full text @ Proc. Natl. Acad. Sci. USA

Generation of µwheels. (A) tPA and/or microparticles were infused via the retro-orbital space or PCV using pulled capillary micropipettes. (B) 3 dpf zebrafish larvae were mounted in low melting point agarose on glass coverslips and a pulsed dye laser was used to injure the endothelium of the PCV, resulting in thrombosis. (C) Photograph of µwheels at the site of a clot. Red and blue arrows indicate the direction of blood flow in the arterial and venous systems, respectively. Black arrows indicate the µwheels at the upstream edge of an occlusive thrombus, outlined with green dashes. (D) Zebrafish larvae mounted in low melting point agarose and infused with microparticles were placed in the center of five solenoid coils. (E) A laptop running MuControl software connected to a function generator and amplifier sends alternating currents to the x, y, and z coils. (F) The rotating magnetic field (blue arrows) induced by the coils causes the assembly and translation of the µwheels with steering controlled by the camber angle (θ) of the field relative to the z-axis.

Time to fibrinolysis after infusion of tPA. The PCV of 3 dpf larvae was injured, producing a completely occluding thrombus. This was followed by either no infusion/uninjected (n = 54), infusion of saline (n = 17), 1 ng of recombinant human tPA (n = 16), or 10 ng of recombinant human tPA (n = 40), and then observation for up to 4 h. Only high concentrations of tPA at 10 ng/larvae (~5 to 10× the amount used for human therapy) were able to achieve recanalization in a fraction of larvae within 4 h and without significant toxicity. Lower concentrations of tPA did not recanalize. Bars represent median recanalization time (*P < 0.01, ****P < 0.0001 by Mantel-Cox log-rank testing).

tPA-functionalized µwheels are necessary for recanalization. The PCV of 3 dpf larvae was injured, producing completely occlusive thrombi, followed by no infusion (n = 18), the infusion of microparticles functionalized with ~8.4 pg of tPA (n = 16), unfunctionalized µwheels (n = 15), or tPA-functionalized µwheels carrying ~8.4 pg of tPA (n = 15). The field was applied in rolling mode either until recanalization was observed or a maximum of 30 min. Beyond that point, the coils became too hot and damaged the larvae. Larvae infused with tPA-functionalized µwheels recanalized within 11.8 ± 5.4 min while those infused with non-functionalized µwheels, tPA-functionalized particles without the application of a magnetic field, and uninfused larvae continued to be occluded after 30 min (P < 0.0001 by Mantel-Cox log-rank testing). Bars represent median recanalization time.

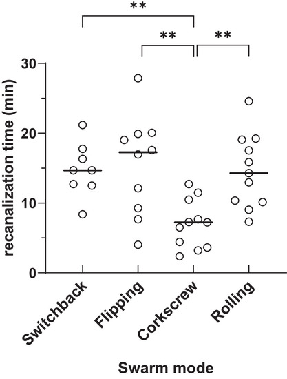
Effect of motion type on recanalization time. 3 nL of tPA-functionalized µwheels containing ~8.4 pg of tPA were infused into 3 dpf zebrafish larvae following injury causing completely occlusive thrombi. Under switchback (n = 8), flipping (n = 10), or rolling (n = 11) modes of movement all recanalized within 30 min, while µwheels under corkscrew (n = 11) movement recanalized within 15 min (**P < 0.01 by Mantel-Cox log-rank testing). Bars represent median recanalization time.

µWheel-mediated recanalization of occlusive thrombi is dependent on plasminogen. (A) CRISPR-mediated genome editing was used to produce a 23 base pair deletion in the plg gene. In the majority of wild-type (n = 18) and heterozygous (n = 43) mutants, µwheels were able to recanalize an occlusive thrombus within 30 min. Conversely, the vast majority of homozygous (n = 20) mutants were unable to do so. Interestingly there was a small, but statistically significant decrease in the percentage of heterozygotes that were able to recanalize, when compared to wild-type siblings. (B) Plasminogen was infused into plg mutant fish [wild-type (n = 16), heterozygous (n = 23), homozygous (n = 12)] and µwheels were able to recanalize the majority of occlusive thrombi within 30 min. Observations were performed prior to genotyping and thus were blinded. Bars represent median recanalization time. (*P < 0.05, ****P < 0.0001 by Mantel-Cox log-rank testing), ns, not significant.

Acknowledgments
This image is the copyrighted work of the attributed author or publisher, and ZFIN has permission only to display this image to its users. Additional permissions should be obtained from the applicable author or publisher of the image. Full text @ Proc. Natl. Acad. Sci. USA