IMAGE

Figure 4

ID
ZDB-IMAGE-240219-20
Source
Figures for Benchoula et al., 2024
Image
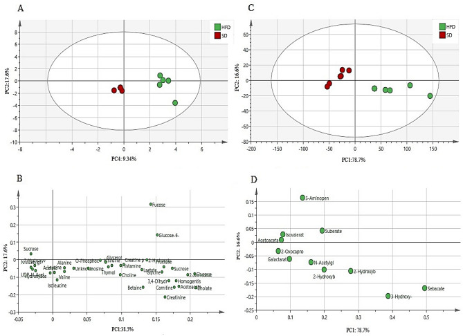
Figure Caption

Figure 4

The PCA score (A and C) and loading (B and D) plots (PC1 vs. PC2) compare the HFD with the SD male zebrafish of aqueous and lipophilic metabolites after 4 weeks of treatment. HFD high fat diet, SD stander diet.

Figure Data
Acknowledgments
This image is the copyrighted work of the attributed author or publisher, and ZFIN has permission only to display this image to its users. Additional permissions should be obtained from the applicable author or publisher of the image. Full text @ Sci. Rep.