IMAGE

Fig. 3

ID
ZDB-IMAGE-160729-40
Source
Figures for Lai et al., 2014
Image
Figure Caption

Fig. 3

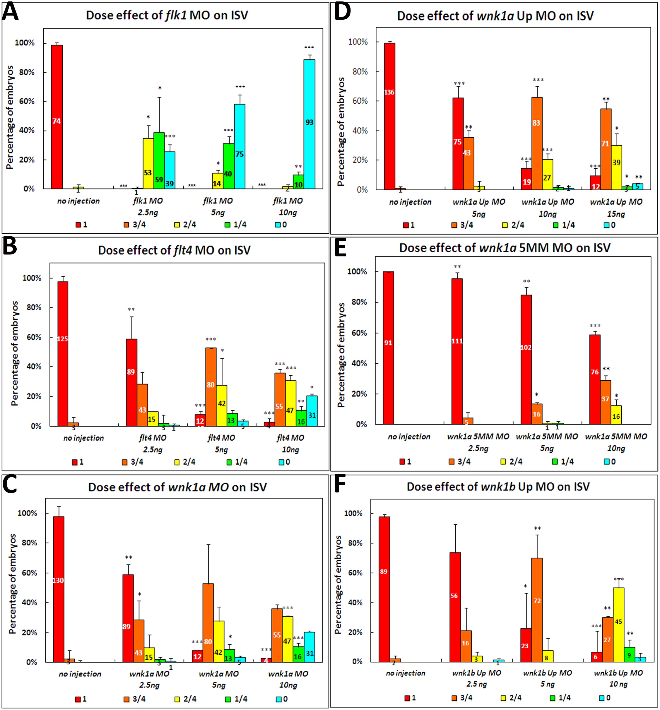
Statistical analysis of the length of intersegmental vessels in flk1, flt4, wnk1a, wnk1a 5MM, wnk1a upstream and wnk1b upstream morpholino-injected embryos.

The effects of (A) flk1 MO, (B) flt4 MO, (C) wnk1a MO, (D) wnk1a 5 base mismatch MO, (E) wnk1a upstream MO, and (F) wnk1b upstream MO on the length of intersegmental vessels. Morpholino injection has a dose-dependent effect on intersegmental vessel formation and growth. All experiments were performed at least three times, and the average ISV length was calculated along with the standard deviation, which is labeled on each bar. Red indicates that the ISVs grew to full length, orange indicates that the ISVs were 75% of the normal length, yellow indicates 50%, green indicates 25%, and light blue indicates that no ISVs were observed in the embryos. The differences between treatments were assessed using a two-tailed Student’s t-test. Significant differences between the morphants and controls are indicated (*, P<0.05; **, P<0.01; and ***, P<0.001).

Figure Data
Acknowledgments
This image is the copyrighted work of the attributed author or publisher, and ZFIN has permission only to display this image to its users. Additional permissions should be obtained from the applicable author or publisher of the image. Full text @ PLoS One